Efficientamento energetico

In vigore il Nuovo Conto Termico: pubblicato il Catalogo degli apparecchi domestici

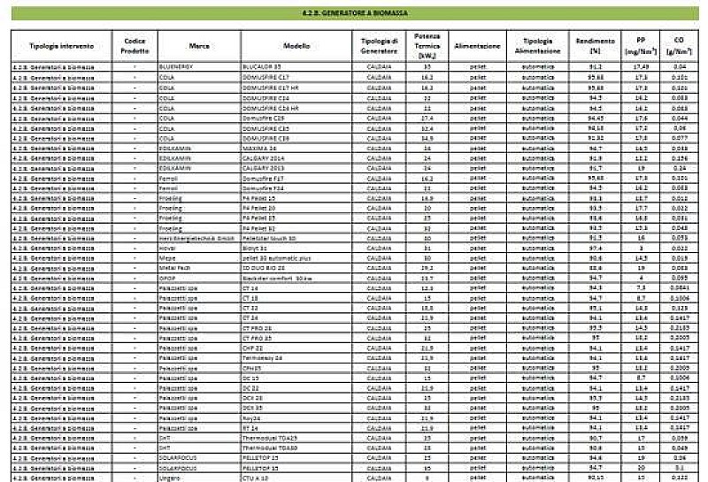
Tutti gli apparecchi elencati nel Catalogo rispondono ai requisiti tecnici contenuti negli allegati al Decreto 16 febbraio 2016

martedì 31 maggio 2016 - Redazione Build News

1_catalogo_conto_termico

Contestualmente all'entrata in vigore, da oggi 31 maggio 2016, del Conto termico 2.0 (DM 16 febbraio 2016), il Gestore dei servizi energetici ha pubblicato il “Catalogo degli apparecchi domestici”, che semplifica la procedura di accesso agli incentivi per l'installazione di apparecchi, macchine e sistemi per la produzione di energia termica.

Tutti gli apparecchi elencati nel Catalogo rispondono ai requisiti tecnici contenuti negli allegati al Decreto 16 febbraio 2016.

Il Catalogo ha valore esemplificativo e non esclude, quindi, che anche altri apparecchi non elencati possano rispondere ai requisiti richiesti dal Decreto.

Il catalogo è consultabile nella sezione "Documenti" della pagina Conto Termico 2.0.

Leggi anche: “Nuovo Conto termico, dal 31 maggio le istanze. In palio 900 MLN annui

Idrogeno verde, una soluzione per l'energia del futuro. Ma oggi è ancora troppo caro

L'obiettivo crescita sostenibile è raggiungibile attraverso l'utilizzo dell'idrogeno verde. Ma al momento... Leggi


Bonus elettrodomestici green, spunta il nuovo contributo per rendere la casa più efficiente

Il governo ha allo studio l'introduzione di un nuovo bonus elettrodomestici, che... Leggi

Potrebbe interessarti


Iscriviti alla newsletter di Build News

Rimani aggiornato sulle ultime novità in campo di efficienza energetica e sostenibilità edile

Iscriviti

I più letti sull'argomento


Efficientamento energetico copertina articolo
Quota rinnovabili negli edifici: obblighi e proroghe

Alla luce del Milleproroghe, che ha rinviato al 2018 l’aumento dal 35%...

Dello stesso autore


Attualità
Edilizia sanitaria in stallo: solo il 34% delle risorse spese. L’allarme del dossier Federcepicostruzioni

Secondo l’Ufficio Studi della Federazione, il PNRR rischia la paralisi: ritardi gravi...

Attualità
Piano Ue 2026: le iniziative fiscali previste dalla Commissione europea

Semplificazione normativa e riordino del sistema tributario tra le priorità del nuovo...